日本から脱出する日本人?
近年,日本人の海外流出が注目を集めている。若者のワーキングホリデー,子どもの留学のため親子で移住する子育て世代,富裕層の租税回避,海外での好待遇を求める技術者や研究者といった様々な形での移住が進んでいるとされる。
日本人の海外流出への注目は急速に円安が進んだ2022年以降,特に顕著であるが,その背景には長引く日本の低成長,急激な人口減少による先行きへの不安といった構造的な要因があるとされる(大石 2024)。
こういった論点は外国人に「選ばれる日本」という議論とちょうどネガとポジの関係にあるといってよいだろう。外国人が日本を選ぶ理由も,日本人が日本も去る理由もいずれも賃金の安さや日本社会の先行きの暗さである点には変わりはないからだ。
一方,日本から海外に留学に行く日本人の数がピーク時である2004年の82,945人から半数以下の4万人台にまで減っていることなどを踏まえ,日本の若者が内向きになっていると論じる向きも強い。この現象は一見して「日本離れ」とは逆の現象の様にも見られるが,日本の経済的地位の低下による留学費用の高騰がその要因の一つに数えあげられているなど,実は問題の根っこは同じといえるだろう。
しかし,わかりやすいイメージほどあてにならないものはない。以下で実際にデータをみることで,日本から出ていく日本人というテーマについて考えてみよう。
1. 日本人の海外流出は増えているのか?
図1は1956年以降の日本人男女の入国超過率の推移を示したものである。これは,入国者から出国者を引いた値を男女別人口で割ったものであり,プラスであれば日本への入国者が出国者を上回る入国超過,マイナスであればその逆,つまり出国超過であることを意味する。
出所:総務省統計局(1959-2025)
日本人の男女の出入国のパターンは1950年代にはおおよそ人口の0.01-0.02%程度の出国超過傾向を示していた。その後,1960年代に入ると出国よりも入国者の方が多い傾向が見られた。その後,1970年代に入ると日本経済のグローバル化に伴い,次第に出国傾向が顕著になっていく。こうした傾向は1980年代,90年代と強くなり,2000年代に入ってピークを迎えた。
その後,2008年のリーマンショック(世界金融危機)を境に大きく転換した。それまで拡大していた出国超過は終了し,代わって2010年代には入国超過へとシフトしていく。2019年末以降の新型コロナ禍もこうした傾向は続き,日本人の出国超過は戦後,最小の水準に達している。つまり,データを見る限り,日本人の「日本離れ」は起きていない。むしろ,日本人の日本回帰が進んでいるといえる。
2. 変化する海外移住のパターン
また,性年齢別に見ることで,具体的な移住形態の変化も見えてくる(図2)。1956-61年では,男女とも全年齢にわたって出国超過は見られるものの,きわめて弱い。この時期は日本人の海外渡航もまだ,自由化されておらず,事実上,個人の選択としての海外移住の機会は閉ざされていたといえるだろう。
出所:総務省統計局(1959-2025)
1960年代に入ると,海外渡航も自由化され,少しずつ出国超過の兆候が見られ始めた。まず20代後半から30代前半にかけて出国超過傾向が見られ始めた。それと併せて10代後半,及び30代後半以降,60代位にかけて入国超過の傾向が見られ始める。この背景には日本が豊かになっていく中,まず仕事で海外に移住する人が増えていき,その後,留学のために移住する人が増えていったものと思われる。0歳児など年齢の小さな子どもほど出国超過傾向が強いのは,小さな子どもがいる比較的若い夫婦が多いことを示唆している。その後,数年の駐在期間を終えて40代以降に帰国する際には,子どもも10代半ばから後半に差し掛かっていることがこういったパターンに表れていると考えられる。
1990年代以降には,出国超過のピーク年齢の若年化,及び20-50代全般における出国超過傾向の強まりが見られた。これは海外駐在だけではなく,留学の増加など海外移住機会の多様化によるものと考えられるが,そのパターンは男女で少し異なる。男性の場合,日本企業の海外展開が本格化するにつれ,海外駐在のタイミングが30代以降,50代位まで拡大していく。一方,女性の場合,出国超過傾向は留学のタイミングと思われる10代後半から20代前半にかけて強まり,代わって30代以降は入国超過傾向が強まった。これは留学とその後の帰国に対応したものと考えられる。
こういった傾向は2000年代に入ると,より強まり,男女とも0歳から60代前半までの全年齢にわたって出国超過傾向を示すようになった。
しかし,2008年のリーマンショック以降,新たなパターンが生じてくる。一つ目が40代以降の出国超過の縮小,そして入国超過へのシフトである。これはリーマンショック以降続く,企業の海外駐在員の引き上げによるものと思われる。
その一方で顕著になってきたのが,20歳前後,及び20代後半と,出国超過傾向のピークが二つに分かれ始めたことである。20歳前後の出国超過傾向は留学によるものと考えられるが,かつてのようにいったん出たら,20代の間は帰国しないといった長期にわたるものではなく,大学卒業前までには戻って来るという留学期間の短期化の傾向が見られる。その後,20代後半で再び出国超過傾向が見られるが,これは就職後,比較的早い段階で海外に行く人が多いことを示している。
このように戦後の日本人の海外移住は当初は仕事のためのものから,留学や個人的なキャリア形成など,次第に多様化していく様子が見て取れる。
こういった出入国のパターンの変化は海外の日本人コミュニティの人口構成にどのような影響を与えたのであろうか。
3. 海外の日本人コミュニティの変化
外務省から公表されている「海外在留邦人数調査統計」によれば,海外に居住する日本人人口は2023年10月1日時点で129万3,565人となっており,これは2020年以降,4年連続の減少である(図3)。つまり,フローだけではなくストックの面からも日本人の「日本離れ」は進んでいない。
出所:外務省(1985-2023),筆者推計値
同統計は,旅券法の定めにより在外公館(日本国大使館,総領事館,領事事務所)に届出されている「在留届」を基礎資料として,各年10月1日現在の海外在留邦人の実態を把握するために行われているものであるが,提出率は7-9割程度であるとされている。
したがって,本論考では,網羅性の高い毎年の出入国統計をもとに,より正確な在外邦人数の推定を試みた。その結果,海外在住日本人人口は2023年時点で約188万人と「海外在留邦人数調査統計」よりも45%多い結果となった。また,傾向としても「海外在留邦人数調査統計」で記録されているような減少傾向は見られず,一貫して増加している。
また,本推定と「海外在留邦人数調査統計」の値から求められる在留届の提出率は2000年代以降だと約7-9割台であり,また時代とともに低下する傾向が見られることから,本推定はおおむね妥当といえる。なお,1980年代から2000年代にかけて「海外在留邦人数調査統計」が推定値を上回っているが,これは本推定が1956年以降の移住を対象にしており,戦前に移住した人たちを含んでいないことによる差と考えられる。実際,1984年時点での推定値と実績値の差は,「海外在留邦人数調査統計」に含まれる海外在留邦人の内,戦前から現地で暮らしてきたと考えられる「永住者」の人口規模にほぼ等しい。この差は戦前に移住した人たちが,戦後,南米の日系人のように,日本への帰国が進む中で次第に縮み,2000年代に入るまでにほぼ消滅した。
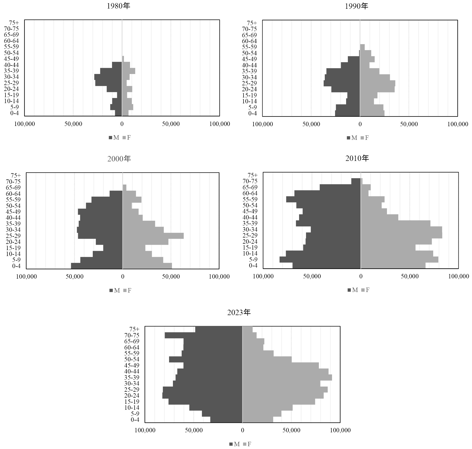
海外日本人人口の年齢構成を見ると,男女とも人口規模が大きくなると同時にあらゆる年齢層で人口が増えていることが分かる(図4)。1980年を見ると,20-30代の男性を中心に若干の同年代の女性と,その子どもに相当する0-15歳人口から構成されていた。これは企業駐在員男性とその配偶者,子どもを中心とした構成といって良いだろう。
注:単位(人)
出所:筆者推定値
こうした傾向は1990年,2000年,2010年と顕著になっていくが,2020年になると10歳以下の子どもの人口が減少し,代わって成人,特に中高年齢の人口が増加していく。これは先述したように,海外駐在員の減少とそれに代わる移住目的の個人化,多様化が影響していると思われる。
また,年齢構成の変化を見ることで,近年,取りざたされていた若者の「内向き志向」といった言説についても検証することができる。先述したように,現在,海外で学ぶ日本人留学生は2004年のピーク時の約半分の4万人にまで減少している。一方,2004年には大学学齢相当の18-22歳の海外日本人人口は約8万人であったところ,2023年には16.7万人にまで増加している(図5)。この内,どの程度が大学に在学しているかはわからないものの,海外で生活する日本の若者の数自体は大きく増加している。これは子どもの頃から海外で暮らす日本人が増えていることによるものであり,留学のタイミングで出国する若者は減っていても,結果としてより多くの日本の若者が海外で暮らすようになっていることを意味する。
注:単位(人)
出所:筆者推定値
4. 経済社会の発展と国際移住の動向
日本人の「日本離れ」といった現象については,フローの面からは起きていないことが確認された。むしろ最近,日本回帰とでもいうべき現象が起きている。その一方,海外在住日本人人口は増加の一途をたどっており,年齢構成を見ると,かつてのように比較的若い企業駐在員夫婦とその子どもを中心とした構成から,男女とも様々な年齢の人たちが海外で暮らしていることが示された。
本推定が対象としているのは,戦後,海外に移住した日本人だけであるが,これに加え,さらに約500万人ともいわれる日系人がいるとされる(外務省 2024)。このことは,合わせて700万人近い日本人,及び日本にゆかりのある人たちが,海外に暮らしていることを意味する。このことはどういった意味を持つのであろうか。
ゼリンスキーの「移動転換理論」においては,死亡,出生力ともに低下した先進工業国の間では循環的な国際移住が起きるとされている。つまり,海外に一定程度の規模の同胞コミュニティを持つこと自体は,それが一方的な流出ではない限り,むしろ経済社会の発展を示すものといって良い。
実際,ドイツ,フランス,英国といった先進諸国はいずれも他の先進国に多くの在外同胞人口を擁しており,その規模はインドや中国といった主要な移民送り出し国が先進国に擁している同胞人口よりも多かったり,それに匹敵するものである。日本が戦後,経験して来たこともこういった現象の一つであり,単なる日本「離れ」やあるいは「内向き化」といった言葉で言い表すことはできないのである。



